Skuteczne zapobieganie nadmiernym napięciom wejściowym w zasilaczach impulsowych
Jak można uniknąć nadmiernych napięć na wejściu? Analiza stresu elektrycznego komponentów zasilacza pozwala określić wytyczne doboru kluczowych komponentów zasilacza impulsowego.
Nadmierne napięcie wejściowe spowodowane jest dużą fluktuacją obciążenia w sieci. Na przykład podczas szczytowego poboru mocy napięcie często jest niskie, a wysokie, gdy sprzęt jest wyłączony.
Rzeczywisty zakres zmienności amplitudy napięcia w sieci energetycznej wykazuje znaczne różnice w zależności od możliwości sieci energetycznej, jakości urządzeń przesyłowych i dystrybucyjnych, poboru mocy i innych czynników. W miastach i obszarach przemysłowych, w których występuje dobrej jakości zasilanie, zakres zmienności wynosi zwykle tylko około ±15% (przy czym maksymalna wartość nie przekracza 264V~). W przypadku przekroczenia 264V~, zasilacz może ulec uszkodzeniu, a nawet spowodować wyzwolenie zabezpieczeń i/lub wzniecić pożar, zagrażając bezpieczeństwu i mieniu.
Jednak w krajach i regionach charakteryzujących się niską jakością zasilania lub w sytuacjach, gdy w sieci energetycznej pracują urządzenia poddawane dużym zmianom obciążenia, np. obszary górskie, tunele autostradowe, stacje ładowania, zasilanie z generatora itp. zakres zmian jest znacznie większy. Czasami zakres zmian może wynieść nawet 20%-30% (osiągając maksymalną wartość od 274 do 299V~).

Ilustracja 1. Przebieg napięcia w trudnych warunkach środowiskowych. (Źródło ilustracji: Mornsun Power)
Analiza stresu napięciowego komponentów zasilacza przy nadmiernym napięciu wejściowym
Przyjmijmy zasilacz impulsowy typu flyback przedstawiony na ilustracji 2 jako przykład umożliwiający przeanalizowanie zasad dobierania odpowiednich komponentów w zależności od stresu napięciowego, gdy napięcie wejściowe osiąga 305V~).
Ilustracja 2: Zasilacz impulsowy typu flyback. (Źródło ilustracji: Mornsun Power)
1. Dobór napięcia znamionowego bezpiecznika topikowego F1
Napięcie znamionowe bezpiecznika topikowego musi być większe lub równe maksymalnemu napięciu obwodu wyłączającego. Ze względu na bardzo niską rezystancję znamionową bezpiecznika topikowego, jego napięcie znamionowe nabiera znaczenia dopiero przy próbie przerwania przepływu prądu. W przypadku stopienia się wkładki bezpiecznikowej, bezpiecznik musi być w stanie szybko rozłączyć obwód, zgasić łuk i uniemożliwić ponowne powstanie łuku w obwodzie przy napięciu jałowym w wyniku zadziałania bezpiecznika rozłączającego.
Zazwyczaj stosuje się bezpieczniki o napięciu 125V, 250V, 300V i 400V. W przypadku dużych wahań napięcia wejściowego należy wybrać bezpiecznik topikowy 300V.
2. Dobór napięcia znamionowego warystora RV1
W praktycznych zastosowaniach warystor RV1 jest zwykle włączany w obwód równolegle. Podczas normalnej pracy obwodu znajduje się on w stanie wysokiej rezystancji, co nie wpływa na normalną pracę obwodu. Gdy w obwodzie wystąpi nietypowe chwilowe nadmierne napięcie osiągające wartość napięcia włączenia (napięcie warystora), warystor szybko przechodzi ze stanu wysokiej rezystancji do stanu niskiej rezystancji, rozładowuje chwilowy nadmierny prąd spowodowany nietypowym chwilowym nadmiernym napięciem i utrzymuje nietypowe chwilowe nadmierne napięcie na bezpiecznym poziomie, aby chronić obwód przed uszkodzeniem w wyniku nietypowego chwilowego nadmiernego napięcia.
Poniżej przestawiono typowe specyfikacje warystorów:
Tabela 1: Specyfikacje napięciowe warystorów S10K300 i S10K350. (Źródło ilustracji: Mornsun Power)
Wartość napięcia warystora powinna być większa od wartości szczytowej napięcia w rzeczywistym obwodzie, co oznacza, że napięcie zasilania, które jest stale przyłożone do obu końców warystora, powinno być mniejsze od „maksymalnego ciągłego napięcia roboczego (dla prądu zmiennego i prądu stałego)” wskazanego w specyfikacji warystora. Jak pokazano w tabeli 1, napięcie 300V~ (385V=) w oczywisty sposób nie spełnia warunków długoterminowej pracy na poziomie 305V~. Aby zapobiec uszkodzeniu warystora, w przypadku dużych wahań napięcia wejściowego należy stosować warystory 10D561.
3. Dobór napięcia znamionowego kondensatora X typu CX1
Napięcie znamionowe kondensatora bezpieczeństwa X2 wynosi z reguły 275V, 305V lub 310V - są to właściwie wartości uniwersalne. Ze względu na różne wymagania dotyczące napięcia znamionowego w różnych krajach i różne przepisy bezpieczeństwa, etykieta X2 nie zawsze jest dokładna. Na przykład napięcie znamionowe wymagane do uzyskania certyfikatu CQC w Chinach wynosi 310V~, natomiast w innych krajach jest to 275V, 305V~ i 310V~. W przypadku dużych wahań napięcia wejściowego preferowany jest kondensator X o napięciu 310V.
4. Dobór napięcia znamionowego mostka prostowniczego BD1
Gdy VIN = 264V~, maksymalny stres diod mostka prostowniczego powinien wynosić: Vmax1 = 264 × √2 = 373V.
Gdy VIN = 305V~, maksymalny stres diod mostka prostowniczego powinien wynosić: Vmax2 = 305 × √2 = 431V.
Ponieważ zasilacz przełączający musi wykonać test udaru piorunowego, zazwyczaj wybiera się mostek prostowniczy o napięciu znamionowym większym niż 600V. Do zastosowania w środowisku, w którym mogą występować silniejsze udary, można również wybrać mostek prostowniczy o napięciu 1000V.
5. Dobór napięcia znamionowego kondensatora elektrolitycznego typu C1
Gdy VIN = 264V~, maksymalny stres kondensatora elektrolitycznego powinien wynosić: Vcmax1 = 264 × √2 = 373V.
Gdy VIN = 305V~, maksymalny stres kondensatora elektrolitycznego powinien wynosić: Vcmax2 = 305 × √2 = 431V.
W przypadku dużych wahań napięcia wejściowego należy zastosować kondensator elektrolityczny o napięciu 450V.
6. Dobór napięcia znamionowego tranzystora MOS Q1
Stres napięciowy tranzystora MOS (Vmos) jest równy:

VIN odnosi się do napięcia wejściowego, przy czym maksymalne napięcie wejściowe wynosi 431V.
VOR to napięcie odbicia, na ogół 60-120V, które jest bezpośrednio skorelowane z przekładnią uzwojeń pierwotnego i wtórnego. Można przyjąć, że przy optymalnej konstrukcji będzie to 80V lub mniej.
VPK to napięcie szczytowe generowane na indukcyjności, wynoszące zwykle około 100V. Dzięki optymalizacji indukcyjności rozproszenia i parametrów absorpcji można przyjąć wartość 80V lub mniej.
Roboczy stres napięciowy tranzystora MOS Q1 powinien zatem wynosić: 431 + 120 + 100 = 651V. Po optymalizacji roboczego stresu napięciowego tranzystora Q1 mógłby on wynosić: 431 + 80 + 80 = 591V. Z tego względu, uwzględniając udar wejściowy 305V~ i mając na celu zapewnienie niezawodności pracy tranzystora MOS, należy zastosować tranzystor MOS o napięciu co najmniej 700V, jednak po optymalizacji przekładni zwojowej i indukcyjności rozproszenia transformatora można również zamontować tranzystor MOS o napięciu 650V .
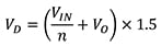
7. Dobór napięcia znamionowego diody D1
Wzór do obliczenia stresu napięciowego diody jest następujący:

VD-PK odnosi się do napięcia szczytowego generowanego przez indukcyjność rozproszenia uzwojenia wtórnego. Ponieważ na tę wartość duży wpływ mają różne napięcia wyjściowe i parametry absorpcji, na ogół oblicza się ją jako:

Zakładając, że napięcie wyjściowe wynosi 12V (VO = 12V), szczytowa indukcyjność rozproszenia diody wynosi 30V (VD-PK = 30V), a szczytowa indukcyjność rozproszenia tranzystora MOS wynosi 80V (VPK = 80V), obliczenia przestawiają się następująco:
Tabela 2: Zależność stresu napięciowego od przekładni zwojowej, tranzystora MOS i diody. (Źródło ilustracji: Mornsun Power)
Z tabeli 2 wynika, że konwencjonalny zasilacz impulsowy uwzględnia tylko napięcie wejściowe 373V (VIN = 373V), przy założeniu, że wartości napięcia tranzystora MOS i diody będą stosunkowo małe. Zasilacza tego nie można zastosować przy napięciu wejściowym 431V, ponieważ gdy napięcie wejściowe przekroczy 373V, istnieje ryzyko uszkodzenia.
Podsumowując, jeśli przyjmiemy, przykładowo, napięcie wyjściowe 12V, przy uwzględnieniu udaru lub wejścia 305V~, w celu zapewnienia niezawodnego działania diody, należy zastosować diody o napięciu co najmniej 150V. Jednak po optymalizacji przekładni zwojowej i indukcyjności rozproszenia transformatora, można również zastosować diody 100V.
