Projektowanie

Dokładniejsze rozwiązania bezprzewodowego pomiaru odległości

offerings-mobile

Zaprezentowano również urządzenia BLE i towarzyszące im oprogramowanie firmy Dialog Semiconductor, które oferują dokładniejsze rozwiązanie wdrożenia funkcji dokładnego pomiaru odległości wymaganego do śledzenia kontaktów.

Po wymianie profilu częstotliwości specyficznego dla danego urządzenia z odpowiadającym mu urządzeniem, każde z urządzeń wykorzystuje te dane do obliczenia odległości za pomocą jednej z dwóch metod obsługiwanych przez zestaw rozwojowy oprogramowania (SDK) bezprzewodowego pomiaru odległości (WiRa). W metodzie odwrotnej szybkiej transformacji Fouriera (IFFT), obliczenia IFFT przekształcają dane profilu częstotliwości do dziedziny czasu i mapują opóźnienie czasowe związane ze szczytową reakcją impulsową na pomiar odległości.

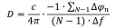
W metodzie opartej na fazach, do obliczeń używa się danych fazowych na każdy atom obu urządzeń, w celu znalezienia różnic fazowych. Korzystając z tych wyników, obliczenia mapują średnią różnicę fazową do odległości (D) w metrach (m), zgodnie z równaniem 1:

Równanie 1 

Gdzie:

= prędkość światła w metrach na sekundę (m/s)

∆ = różnica faz w radianach

∆ = różnica częstotliwości w hercach (Hz)

= liczba atomów

Chociaż podstawowe mechanizmy i obliczenia są dość złożone, firma Dialog Semiconductor ułatwia deweloperom ewaluację tego podejścia oraz wdrożenie go we własnych projektach. Deweloperzy mogą podłączyć zestaw rozwojowy bezprzewodowego pomiaru odległości DA14695 firmy Dialog Semiconductor (DA14695-00HQDEVKT-RANG) do portu USB swojego komputera i natychmiast rozpocząć poznawanie funkcji bezprzewodowego pomiaru odległości za pomocą przykładowego oprogramowania tej firmy.

Płytka zestawu do bezprzewodowego pomiaru odległości została stworzona w oparciu o układ SoC BLE DA14695 firmy Dialog Semiconductor i stanowi efektywną platformę do implementacji niestandardowego oprogramowania poprzez wykorzystanie przykładowego oprogramowania lub przy użyciu procedur usług zestawu rozwojowego oprogramowania (SDK) bezprzewodowego pomiaru odległości (WiRa) w niestandardowych aplikacjach programowych.

Oprócz zestawu rozwojowego oprogramowania (SDK) bezprzewodowego pomiaru odległości (WiRa), firma Dialog Semiconductor udostępnia również przykładowy pakiet oprogramowania na potrzeby dystansu społecznego, który wdraża rozszerzony bezprzewodowy pomiar odległości dzięki DTE i zapewnia zestaw powiązanych procedur programowych, obejmujących zarówno fazowe metody pomiaru odległości, jak i te oparte na IFFT. Na przykład, procedura obliczeń fazowych cwd_calc_distance() pokazana na listingu 1 jest prostą implementacją pokazanego powyżej równania fazowego do pomiaru odległości.

Kopiuj

float cwd_calc_distance(float *init_phase_atom, float *refl_phase_atom)
{
    float *dd_phi = d_phi; /* reuse d_phi, or: float dd_phi[CWD_N_ATOM_MAX-1];*/
    float dd_phi_mean;
    int i;
 
    for (i = 0; i < cwd_parm.n_atom; i++)
    {
        /* phase "difference" between initiator and responder */
        d_phi[i] = init_phase_atom[i] + refl_phase_atom[i];
 
        if (i != 0)
        {
            /* phase difference between neighboring frequencies */
            dd_phi[i-1] = d_phi[i] - d_phi[i-1];
        }
    }
 
    unwrap_phase(dd_phi, cwd_parm.n_atom - 1, 1);
 
    /* average dd_phi */
    dd_phi_mean = 0;
    for (i = 0; i < cwd_parm.n_atom - 1; i++)
    {
        dd_phi_mean += dd_phi[i];
    }
    dd_phi_mean = dd_phi_mean / (cwd_parm.n_atom - 1);
 
    dd_phi_mean = wrap_to_two_pi(dd_phi_mean - CWD_PHASE_OFFSET);
 
    /* distance */
    return (dd_phi_mean * CWD_C_AIR/(4 * M_PI * cwd_parm.f_step * 1e6));
}

Listing 1: Ta procedura obliczeniowa jest prostą implementacją przedstawionego wcześniej równania pomiaru odległości na podstawie faz. (Źródło kodu: Dialog Semiconductor)

Podsumowanie

Bezprzewodowy pomiar odległości może być kluczowym czynnikiem ułatwiającym zautomatyzowane śledzenie kontaktów i może pomóc w identyfikacji ognisk chorób zakaźnych takich jak COVID-19, jednak konwencjonalne protokoły technologii Bluetooth nie zapewniają niezawodnych, dokładnych pomiarów odległości.

Aby rozwikłać ten problem, firma Dialog Semiconductor opracowała metodę programową oferującą dokładniejsze rozwiązanie przypominające radar, które może być wdrożone jako uaktualnienie oprogramowania systemów opartych na firmowych układach system-on-chip (SoC) Bluetooth Low Energy. Takie podejście poprawia dokładność przy jednoczesnym ograniczeniu kosztów i umożliwieniu szybkiego wdrożenia na obecnie aktywnych urządzeniach.

Autor: Stephen Evanczuk

Kontakt w Polsce

Arkadiusz Rataj

Sales Manager Central Eastern Europe & Turkey

Digi-Key Electronics Germany

0048 696 307 330

arkadiusz.rataj@digikey.com

poland.support@digikey.pl

Poprzednia
Strona: 3/3